Field Services & Instrumentation

End-to-End Instrumentation & Field Services—Built on 40+ Years of Expertise.

Explore Our Capabilities

Overview

Lymon C. Reese & Associates (LCR&A), the consulting division of Ensoft, delivers turnkey field instrumentation, load testing, and remote monitoring for geotechnical and structural projects. Backed by a team of experienced professionals and a long history of pioneering work in geotechnical engineering, structural mechanics, and soil-structure interaction, LCR&A designs and fabricates custom sensors and data acquisition systems, deploys them in rugged environments, and provides real-time dashboards to support informed decision-making. Our practice spans structural and geotechnical engineering, computer-aided simulation, foundation instrumentation, non-destructive testing, pile-driving monitoring and analysis, and forensic investigation across a wide range of complex infrastructure projects.


Precision Instrumentation

We deploy high-precision sensors for structural and geotechnical monitoring, including inclinometers, vibrating wire and resistive strain gauges, pressure transducers, load cells, displacement transducers, and tiltmeters. Instruments are calibrated in-house and verified prior to deployment to support accurate, reliable performance under field conditions.

Our instrumentation services also include custom fixture design, connectorized sensor assemblies, and application-specific packaging solutions to support proper alignment, protection, and repeatability across complex deployments, including wind turbine instrumentation and other demanding field applications.

Biaxial Tiltmeter

Ensoft Dual-Axis Tiltmeter

This biaxial tiltmeter is fully assembled in-house using custom-machined enclosures and high-sensitivity electrolytic tilt sensors. Designed for durability, precision, and long-term field use, it provides reliable dual-axis tilt measurement for structural and geotechnical monitoring applications.

View Specs

Data Acquisition Systems

Our custom data acquisition systems are engineered to capture real-time data under static and dynamic conditions. We design and fabricate robust enclosures, circuit boards, and sensor arrays that integrate seamlessly with intuitive interfaces and web dashboards.

Data Acquisition

Custom-built data acquisition enclosures

Monitoring Interfaces

Interfaces for diverse sensor arrays


Custom Monitoring Software

We develop custom solutions to manage and visualize sensor data in real time. Our user-friendly dashboards, alert systems, and reporting tools streamline data analysis and empower rapid decision-making.

Monitoring Software

Real-time data visualization and custom reporting


Load Testing

We perform ASTM-compliant load testing on concrete and steel piles using advanced instrumentation to monitor load transfer, deflection, and rotation.

Load Testing Setup

Testing frame in action

Data Capture

Real-time load data capture

Instrumentation on Pile

Instrumentation on a steel pile


Remote Monitoring & Cloud-Based Data

Our remote monitoring solutions provide continuous, real-time data via cellular and GPS connectivity, supported by cloud-based dashboards and robust time-series database management. We also offer solar-powered options, and now include satellite and RF telemetry communications for data transmission in even the most isolated areas.

Remote Monitoring

Remote deployment with cloud dashboard access


Fabrication & Advanced Manufacturing

Our in-house fabrication capabilities include CNC milling, lathe machining, 3D printing, welding, and 4-axis machining. We produce custom fixtures, mounts, enclosures, and connectorized sensor assemblies tailored to project requirements, and integrate these with custom electronics design.

CNC fabrication of custom hardware

Custom electronics design and PCB development

In-house electronics design, PCB development, and sensor integration

Connectorized strain gauge assembly

Connectorized strain gauge assembly developed for field instrumentation applications


Rugged & Remote Deployment

Designed for harsh and isolated environments, our ruggedized solutions feature weatherproof enclosures, solar-powered systems, and robust connectivity, including satellite and RF telemetry communications, to ensure uninterrupted monitoring.

Rugged deployment for off-grid or harsh climates

Rugged deployment for off-grid or harsh climates


Impulse Echo Testing Capabilities

Our impulse echo testing offers a rapid, non-destructive method to evaluate deep foundations. This technique determines foundation lengths and detects defects with high-fidelity data, all supported by our experienced engineering team.


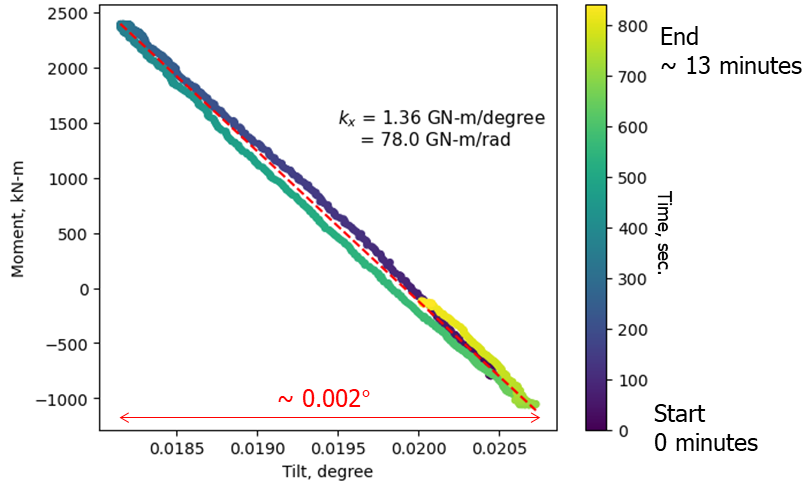
Highlighted Project: Wind Turbine Rotational Stiffness

We instrumented wind turbines to measure rotational stiffness with our in-house sensors. Combined with finite-element modeling and data analytics, this work delivers clear insights to optimize turbine performance and extend service life.

Instrumentation setup on a wind turbine
Instrumentation setup on a wind turbine
Analyzing long-term rotational stiffness data
Analyzing long-term rotational stiffness data
Additional monitoring visualization
Finite-element analysis

Why Choose Ensoft/LCR&A?

With decades of industry experience and technical expertise, our comprehensive solutions, from instrumentation to remote monitoring, deliver reliable, innovative engineering results.